图1. 精细胞发育过程中三种甲基化水平的变化
(a) 与营养细胞相比,CG高甲基化,CHG和CHH低甲基化伴随着精细胞的发育过程。(b)基因的平均甲基化水平。(c) 转座元件的平均甲基化水平。生殖细胞和精细胞具有几乎完全重合的平均甲基化水平曲线。单核小孢子 (MS), 营养细胞 (VC), 生殖细胞 (GC), 精细胞 (SC),转录起始位点(TSS), 转录终止位点(TES), 转座元件(TE)。
被子植物的精细胞发育涉及精细调控的细胞分化与命运决定,在此过程中单倍体的小孢子通过不对称有丝分裂产生两个命运和身份不同的子细胞,即营养细胞和生殖细胞,前者退出细胞周期、在适宜条件下发育成运送精细胞的花粉管;后者则通过有丝分裂产生两个精细胞,这两个精细胞被花粉管运送到雌蕊的胚囊分别与中央细胞和卵细胞融合启动双受精。研究显示精细胞的发育过程伴随着转录组和DNA甲基化组的重编程,但尚不清楚精细胞的DNA甲基化模式是何时以及如何建立的。
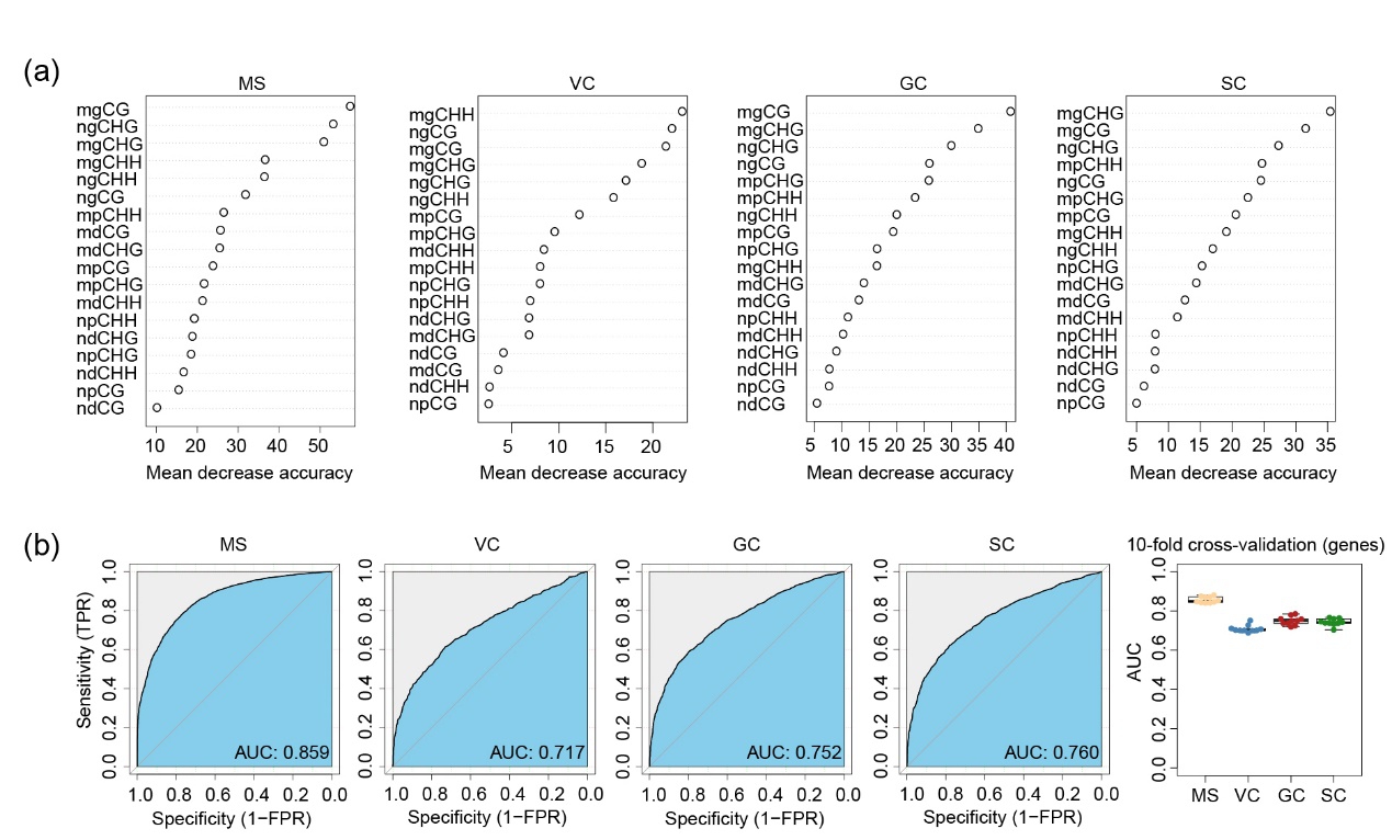
中科院植物研究所王台研究组从番茄中分离了小孢子、生殖细胞、精细胞和营养细胞核,利用亚硫酸氢盐测序等方法研究了这四种类型细胞的核基因组DNA 5mC图谱。发现小孢子通过不对称分裂产生的两个子细胞具有不同的DNA甲基化组。与生殖细胞相比,营养细胞的CG位点处于低甲基化状态,而CHG和CHH位点处于高甲基化状态,大部分的差异甲基化区域发生在转座元件。精细胞和生殖细胞有几乎一致的DNA甲基化图谱,这表明精细胞的甲基化模式可能在小孢子不对称分裂后就已经建立。利用随机森林分类算法系统分析了这4种类型细胞的转录组与DNA甲基化组的关联性,显示基因内部的甲基化特征能更有效的预测基因和转座元件的表达。在所有检测的细胞类型中,基因内部的甲基化特征能更好的预测小孢子中的基因和转座元件的表达。
相关研究成果已于2020年11月29日在线发表于Plant Journal (DOI: 10.1111/tpj.15098). 王台组已毕业的博士研究生鲁云龙为第一作者,王台研究员和刘玲童助理研究员为共同通讯作者。该研究得到了国家自然科学基金委的资助。

图 2. 甲基化模式可以部分预测基因和转座子的表达
(a) 不同的甲基化特征在随机森林算法预测各细胞类型中基因表达时的重要程度。启动子的甲基化水平(mp), 基因体的甲基化水平(mg), 基因下游的甲基化水平(md), 启动子的甲基化位点数量 (np), 基因体的甲基化位点数量(ng),基因下游的甲基化位点数量(nd)。(b) 反映模型准确性的工作特性曲线下面积(AUC)。真阳性率(TPR),假阳性率(FPR)。